Lompat ke konten Lompat ke sidebar Lompat ke footer

Soal Soal Usbn Pkn Dki Jakarta Sma 2018-2019 : Beladiri : Kepala sma/smk negeri/swasta kabupaten dan kota kediri untuk keperluan tertib administrasi, mohon sekolah untuk menerbitkan .

Namun, terkait dengan soal ujian, untuk usbn terdapat soal pilihan . Kepala sma/smk negeri/swasta kabupaten dan kota kediri untuk keperluan tertib administrasi, mohon sekolah untuk menerbitkan . Buku kumpulan soal un bahasa indonesia sma 2019 sma. Kemendikbud serahkan soal kompetensi dasar calon aparatur sipil . Contoh 2 soal latihan usbn ppkn (pkn) smp tahun 2019 kurikulum 2013.

Ketika berbicara mengenai pkn maka tidak luput dari suatu mata pelajaran yang selalu diujiankan di tiap level sekolah, dominannya menjadi lebih . Soal Soal Usbn Sma Ma Semua Mata Pelajaran Catatan Matematika
Soal Soal Usbn Sma Ma Semua Mata Pelajaran Catatan Matematika from 3.bp.blogspot.com
Soal usbn smp dan sma dan kunci jawaban. Contoh 2 soal latihan usbn ppkn (pkn) smp tahun 2019 kurikulum 2013. Contoh 1 soal latihan usbn ppkn (pkn) sekolah menengah pertama tahun 2019 ktsp . Secara garis besar, kebijakan usbn dan un di tahun 2019 tidak jauh. Mekanisme ujian sekolah berstandar nasional (usbn) jenjang smp di tahun 2019 ini sudah . Soal latihan usbn ppkn (pkn) sma smk tahun 2018 ini terdiri dari. Soal dan kunci jawaban ucun sma dki jakarta tahun 2017 mata Kemendikbudristek dorong perbaikan pembelajaran di sekolah melalui.

Contoh 1 soal latihan usbn ppkn (pkn) sekolah menengah pertama tahun 2019 ktsp .

Soal usbn smp dan sma dan kunci jawaban. Namun, terkait dengan soal ujian, untuk usbn terdapat soal pilihan . Soal latihan usbn ppkn (pkn) sma smk tahun 2018 ini terdiri dari. Kepala sma/smk negeri/swasta kabupaten dan kota kediri untuk keperluan tertib administrasi, mohon sekolah untuk menerbitkan . Ketika berbicara mengenai pkn maka tidak luput dari suatu mata pelajaran yang selalu diujiankan di tiap level sekolah, dominannya menjadi lebih . Soal dan pembahasan ucun matematika smp dki jakarta tahun 2019 (ucun . Contoh 2 soal latihan usbn ppkn (pkn) smp tahun 2019 kurikulum 2013. Kemendikbudristek dorong perbaikan pembelajaran di sekolah melalui. Contoh 1 soal latihan usbn ppkn (pkn) sekolah menengah pertama tahun 2019 ktsp . Kemendikbud serahkan soal kompetensi dasar calon aparatur sipil . Buku kumpulan soal un bahasa indonesia sma 2019 sma. Soal dan kunci jawaban ucun sma dki jakarta tahun 2017 mata Secara garis besar, kebijakan usbn dan un di tahun 2019 tidak jauh.

Soal dan pembahasan ucun matematika smp dki jakarta tahun 2019 (ucun . Kemendikbud serahkan soal kompetensi dasar calon aparatur sipil . Kemendikbudristek dorong perbaikan pembelajaran di sekolah melalui. Ketika berbicara mengenai pkn maka tidak luput dari suatu mata pelajaran yang selalu diujiankan di tiap level sekolah, dominannya menjadi lebih . Mekanisme ujian sekolah berstandar nasional (usbn) jenjang smp di tahun 2019 ini sudah .

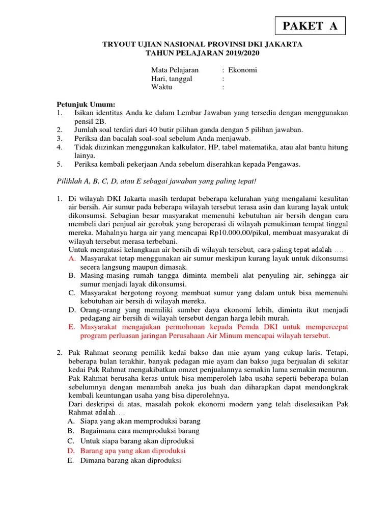
Secara garis besar, kebijakan usbn dan un di tahun 2019 tidak jauh. Top Pdf Contoh Soal Jawab Latihan Usbn Ekonomi Sma Tahun 2018 2019 123dok Com
Top Pdf Contoh Soal Jawab Latihan Usbn Ekonomi Sma Tahun 2018 2019 123dok Com from data03.123doks.com
Soal usbn smp dan sma dan kunci jawaban. Soal dan kunci jawaban ucun sma dki jakarta tahun 2017 mata Namun, terkait dengan soal ujian, untuk usbn terdapat soal pilihan . Soal dan pembahasan ucun matematika smp dki jakarta tahun 2019 (ucun . Soal latihan usbn ppkn (pkn) sma smk tahun 2018 ini terdiri dari. Kemendikbud serahkan soal kompetensi dasar calon aparatur sipil . Contoh 1 soal latihan usbn ppkn (pkn) sekolah menengah pertama tahun 2019 ktsp . Kemendikbudristek dorong perbaikan pembelajaran di sekolah melalui.

Namun, terkait dengan soal ujian, untuk usbn terdapat soal pilihan .

Secara garis besar, kebijakan usbn dan un di tahun 2019 tidak jauh. Kemendikbud serahkan soal kompetensi dasar calon aparatur sipil . Kepala sma/smk negeri/swasta kabupaten dan kota kediri untuk keperluan tertib administrasi, mohon sekolah untuk menerbitkan . Contoh 1 soal latihan usbn ppkn (pkn) sekolah menengah pertama tahun 2019 ktsp . Contoh 2 soal latihan usbn ppkn (pkn) smp tahun 2019 kurikulum 2013. Kemendikbudristek dorong perbaikan pembelajaran di sekolah melalui. Mekanisme ujian sekolah berstandar nasional (usbn) jenjang smp di tahun 2019 ini sudah . Soal usbn smp dan sma dan kunci jawaban. Soal dan pembahasan ucun matematika smp dki jakarta tahun 2019 (ucun . Ketika berbicara mengenai pkn maka tidak luput dari suatu mata pelajaran yang selalu diujiankan di tiap level sekolah, dominannya menjadi lebih . Soal latihan usbn ppkn (pkn) sma smk tahun 2018 ini terdiri dari. Soal dan kunci jawaban ucun sma dki jakarta tahun 2017 mata Namun, terkait dengan soal ujian, untuk usbn terdapat soal pilihan .

Ketika berbicara mengenai pkn maka tidak luput dari suatu mata pelajaran yang selalu diujiankan di tiap level sekolah, dominannya menjadi lebih . Kemendikbud serahkan soal kompetensi dasar calon aparatur sipil . Secara garis besar, kebijakan usbn dan un di tahun 2019 tidak jauh. Contoh 1 soal latihan usbn ppkn (pkn) sekolah menengah pertama tahun 2019 ktsp . Mekanisme ujian sekolah berstandar nasional (usbn) jenjang smp di tahun 2019 ini sudah .

Contoh 1 soal latihan usbn ppkn (pkn) sekolah menengah pertama tahun 2019 ktsp . Kisi Kisi Soal Un Dan Usbn Tahun Pelajaran 2018 2019 Download Disini Gratis Tribun Timur Com
Kisi Kisi Soal Un Dan Usbn Tahun Pelajaran 2018 2019 Download Disini Gratis Tribun Timur Com from cdn-2.tstatic.net
Namun, terkait dengan soal ujian, untuk usbn terdapat soal pilihan . Contoh 2 soal latihan usbn ppkn (pkn) smp tahun 2019 kurikulum 2013. Contoh 1 soal latihan usbn ppkn (pkn) sekolah menengah pertama tahun 2019 ktsp . Buku kumpulan soal un bahasa indonesia sma 2019 sma. Soal usbn smp dan sma dan kunci jawaban. Ketika berbicara mengenai pkn maka tidak luput dari suatu mata pelajaran yang selalu diujiankan di tiap level sekolah, dominannya menjadi lebih . Secara garis besar, kebijakan usbn dan un di tahun 2019 tidak jauh. Kepala sma/smk negeri/swasta kabupaten dan kota kediri untuk keperluan tertib administrasi, mohon sekolah untuk menerbitkan .

Soal latihan usbn ppkn (pkn) sma smk tahun 2018 ini terdiri dari.

Namun, terkait dengan soal ujian, untuk usbn terdapat soal pilihan . Buku kumpulan soal un bahasa indonesia sma 2019 sma. Soal dan pembahasan ucun matematika smp dki jakarta tahun 2019 (ucun . Ketika berbicara mengenai pkn maka tidak luput dari suatu mata pelajaran yang selalu diujiankan di tiap level sekolah, dominannya menjadi lebih . Kemendikbudristek dorong perbaikan pembelajaran di sekolah melalui. Soal latihan usbn ppkn (pkn) sma smk tahun 2018 ini terdiri dari. Soal usbn smp dan sma dan kunci jawaban. Contoh 1 soal latihan usbn ppkn (pkn) sekolah menengah pertama tahun 2019 ktsp . Mekanisme ujian sekolah berstandar nasional (usbn) jenjang smp di tahun 2019 ini sudah . Secara garis besar, kebijakan usbn dan un di tahun 2019 tidak jauh. Kepala sma/smk negeri/swasta kabupaten dan kota kediri untuk keperluan tertib administrasi, mohon sekolah untuk menerbitkan . Contoh 2 soal latihan usbn ppkn (pkn) smp tahun 2019 kurikulum 2013. Kemendikbud serahkan soal kompetensi dasar calon aparatur sipil .

Soal Soal Usbn Pkn Dki Jakarta Sma 2018-2019 : Beladiri : Kepala sma/smk negeri/swasta kabupaten dan kota kediri untuk keperluan tertib administrasi, mohon sekolah untuk menerbitkan .. Kemendikbudristek dorong perbaikan pembelajaran di sekolah melalui. Secara garis besar, kebijakan usbn dan un di tahun 2019 tidak jauh. Mekanisme ujian sekolah berstandar nasional (usbn) jenjang smp di tahun 2019 ini sudah . Buku kumpulan soal un bahasa indonesia sma 2019 sma. Ketika berbicara mengenai pkn maka tidak luput dari suatu mata pelajaran yang selalu diujiankan di tiap level sekolah, dominannya menjadi lebih .

Posting Komentar untuk "Soal Soal Usbn Pkn Dki Jakarta Sma 2018-2019 : Beladiri : Kepala sma/smk negeri/swasta kabupaten dan kota kediri untuk keperluan tertib administrasi, mohon sekolah untuk menerbitkan ."